The photos you provided may be used to improve Bing image processing services.
Privacy Policy
|
Terms of Use
Can't use this link. Check that your link starts with 'http://' or 'https://' to try again.
Unable to process this search. Please try a different image or keywords.
Try Visual Search
Search, identify objects and text, translate, or solve problems using an image
Drag one or more images here,
upload an image
or
open camera
Drop images here to start your search
To use Visual Search, enable the camera in this browser
All
Search
Images
Inspiration
Create
Collections
Videos
Maps
News
More
Shopping
Flights
Travel
Notebook
Top suggestions for Computer Science Boolean Algebra Questions
Boolean Computer Science
Boolean Algebra Computer Science
Questions On
Boolean Algebra
Boolean Expression
Computer Science
AP Computer Science
a Boolean Algebra Question
7 Boolean Algebra
in Computer
Boolean Algebra
Class 12 Computer Science
Boolean Logic
Computer Science
Boolean Example
Computer Science
MCQ Questions
of Boolean Algebra
Boolean Algebra
Class 11 Computer Science
Boolean Algebra Questions
and Answers
Boolean Algebra Computer Science
Notation
Mod
Questions Computer Science
PMT AQA Comp.
Science Boolean Algebra
Examples of
Computer Science Boolean Questions
Computer Science
a Level Boolean Laws
Boolean
Meaning in Computer Science
Boolean Identities
Computer Science
Or Boolean Operator Computer Science
a Level
Boolean
Statement in Computer Science
Boolean Algebra
Worksheet
OCR Boolean Algebra
Cheat Sheet
Association Law
Computer Science Boolean Algebra
Boolean Algebra
a Level CS Questions
Class 12
Computer Science Notes
Hardest a Level
Boolean Algebra Question
Computer Science
Math Problems
Boolean Algebra OCR Computer Science
Simplifying Worksheet
What Is
Boolean Algebra in Computer Science
How to Use Boolean
in a Sentence Computer Science
Computer Science
Example Porblme
Boolean Value
Computer Science
Python
Computer Science
Boolean Algebra Questions
and Answers PDF
Computer Science
Math Problem Example
Boolean Algebra
Simplification
Boolean Algebra Computer
Sciece
Boolean Algebra
Theorems
Alevel
Boolean Algebra
Worksheet Based On Boolean
Alzebra Foe Class 12 ICSE Computer Science
Boolean Expression Computer Science
in Scratchg
Visualised Problem
Computer Science
Boolean Algebra
OCR GCE
Boolean Algebra
Rules
Boolean Algebra
Cict Module 1
Hard Boolean Algebra
Problems
Computer Science
Philosophy Problems
Or Sign
Boolean Algebra OCR
A Level Computer Science OCR
Boolean Algebra Past Exam Questions
Explore more searches like Computer Science Boolean Algebra Questions
What
is
Logic
Gates
Character
String
Java
Definition
Algebra
Symbols
Algebra Class
11
Logic Worksheet
Answers
Operators
GCSE
Expressions
Gates
Statement
Expressions
Definition
Algebra
Table
Def
Code
Example
Laws for
ISC
Algebra Class
12
Integer Real
String
People interested in Computer Science Boolean Algebra Questions also searched for
Venn
Diagram
Logic Gates Cheat
Sheet
Truth
Table
Cheat
Sheet
Transistor
Schematic
George
Boole
Symbol
Chart
Activities
Books
Expressions.
Example
Symbols
For
D210
GIS
Gates
Animation
As
Lattice
Constuct
DNF
Don't
Cares
Food
Project
Dash
Circuit
Diagram
Autoplay all GIFs
Change autoplay and other image settings here
Autoplay all GIFs
Flip the switch to turn them on
Autoplay GIFs
Image size
All
Small
Medium
Large
Extra large
At least... *
Customized Width
x
Customized Height
px
Please enter a number for Width and Height
Color
All
Color only
Black & white
Type
All
Photograph
Clipart
Line drawing
Animated GIF
Transparent
Layout
All
Square
Wide
Tall
People
All
Just faces
Head & shoulders
Date
All
Past 24 hours
Past week
Past month
Past year
License
All
All Creative Commons
Public domain
Free to share and use
Free to share and use commercially
Free to modify, share, and use
Free to modify, share, and use commercially
Learn more
Clear filters
SafeSearch:
Moderate
Strict
Moderate (default)
Off
Filter
Boolean Computer Science
Boolean Algebra Computer Science
Questions On
Boolean Algebra
Boolean Expression
Computer Science
AP Computer Science
a Boolean Algebra Question
7 Boolean Algebra
in Computer
Boolean Algebra
Class 12 Computer Science
Boolean Logic
Computer Science
Boolean Example
Computer Science
MCQ Questions
of Boolean Algebra
Boolean Algebra
Class 11 Computer Science
Boolean Algebra Questions
and Answers
Boolean Algebra Computer Science
Notation
Mod
Questions Computer Science
PMT AQA Comp.
Science Boolean Algebra
Examples of
Computer Science Boolean Questions
Computer Science
a Level Boolean Laws
Boolean
Meaning in Computer Science
Boolean Identities
Computer Science
Or Boolean Operator Computer Science
a Level
Boolean
Statement in Computer Science
Boolean Algebra
Worksheet
OCR Boolean Algebra
Cheat Sheet
Association Law
Computer Science Boolean Algebra
Boolean Algebra
a Level CS Questions
Class 12
Computer Science Notes
Hardest a Level
Boolean Algebra Question
Computer Science
Math Problems
Boolean Algebra OCR Computer Science
Simplifying Worksheet
What Is
Boolean Algebra in Computer Science
How to Use Boolean
in a Sentence Computer Science
Computer Science
Example Porblme
Boolean Value
Computer Science
Python
Computer Science
Boolean Algebra Questions
and Answers PDF
Computer Science
Math Problem Example
Boolean Algebra
Simplification
Boolean Algebra Computer
Sciece
Boolean Algebra
Theorems
Alevel
Boolean Algebra
Worksheet Based On Boolean
Alzebra Foe Class 12 ICSE Computer Science
Boolean Expression Computer Science
in Scratchg
Visualised Problem
Computer Science
Boolean Algebra
OCR GCE
Boolean Algebra
Rules
Boolean Algebra
Cict Module 1
Hard Boolean Algebra
Problems
Computer Science
Philosophy Problems
Or Sign
Boolean Algebra OCR
A Level Computer Science OCR
Boolean Algebra Past Exam Questions
768×1024
scribd.com
Lecture #3 - Logic Gates and Boolea…
1620×2096
studypool.com
SOLUTION: computer science …
1029×839
simplestudy.com
Boolean Algebra - Revision for OCR A-Level Computer Science ...
1620×2291
studypool.com
SOLUTION: Computer scienc…
Related Products
Boolean Algebra Workbook
Boolean Algebra for Dummies
Digital Logic And
1620×2291
studypool.com
SOLUTION: Computer scienc…
1620×2291
studypool.com
SOLUTION: Computer scien…
1620×2291
studypool.com
SOLUTION: Computer scien…
1900×848
github.io
CS Fundamentals III: Boolean Algebra & Logic Gates - DevBalanced
750×422
assignmenthelper.org
Computer Maths Assignment Help: Boolean Algebra And Logic Circuits
595×842
academia.edu
(DOC) Class XII Assignment -C…
1192×936
tes.com
Boolean Algebra And Logic Exam Style Questions Computer Scie…
640×480
slideshare.net
Boolean Algebra for Computer Science Student.pdf
450×480
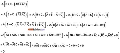
kseebsolutions.com
2nd PUC Computer Science Boolean Alge…
389×242
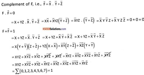
kseebsolutions.com
2nd PUC Computer Science Boolean Algebra Three Marks Questions and ...
Explore more searches like
Computer Science Boolean
Algebra Questions
What is
Logic Gates
Character String
Java Definition
Algebra Symbols
Algebra Class 11
Logic Worksheet A
…
Operators GCSE
Expressions Gates
Statement
Expressions Definition
Algebra Table
363×233
kseebsolutions.com
2nd PUC Computer Science Boolean Algebra Three Marks Questions and ...
400×186
kseebsolutions.com
2nd PUC Computer Science Boolean Algebra Three Marks Questions and ...
490×425
kseebsolutions.com
2nd PUC Computer Science Boolean Algebra Three Mark…
395×253
kseebsolutions.com
2nd PUC Computer Science Boolean Algebra Three Marks Questions and ...
398×369
kseebsolutions.com
2nd PUC Computer Science Boolean Algeb…
663×222
kseebsolutions.com
2nd PUC Computer Science Boolean Algebra Five Marks Questions and ...
360×124
kseebsolutions.com
2nd PUC Computer Science Boolean Algebra Three Marks Q…
641×286
kseebsolutions.com
2nd PUC Computer Science Boolean Algebra Three Marks Questions and ...
494×303
kseebsolutions.com
2nd PUC Computer Science Boolean Algebra Three Marks Qu…
446×299
kseebsolutions.com
2nd PUC Computer Science Boolean Algebra Five Marks Q…
521×247
kseebsolutions.com
2nd PUC Computer Science Boolean Algebra Three Marks Questions and ...
606×316
kseebsolutions.com
2nd PUC Computer Science Boolean Algebra Five Marks Questions and ...
365×174
kseebsolutions.com
2nd PUC Computer Science Boolean Algebra Five Marks Qu…
348×154
kseebsolutions.com
2nd PUC Computer Science Boolean Algebra Two Marks …
409×244
kseebsolutions.com
2nd PUC Computer Science Boolean Algebra Two Marks Questions and ...
940×529
github.com
GitHub - Robert-Dobson/Boolean-Algebra-Tutor: A-Level Computer Science ...
People interested in
Computer Science
Boolean Algebra
Questions
also searched for
Venn Diagram
Logic Gates Cheat Sheet
Truth Table
Cheat Sheet
Transistor Schematic
George Boole
Symbol Chart
Activities
Books
Expressions. Example
Symbols
For D210
691×205
linkedin.com
Foundations and Applications of Boolean Algebra in Computer Science
1620×2183
studypool.com
SOLUTION: Computer scie…
2048×1536
slideshare.net
Boolean Algebra the basic fundamentals of computer scien…
620×704
chegg.com
Assignment: Answer the following questions from the …
621×804
chegg.com
Assignment: Answer the follo…
Some results have been hidden because they may be inaccessible to you.
Show inaccessible results
Top suggestions for
Computer Science Boolean Algebra Questions
Boolean Computer Sc
…
Boolean Algebra Com
…
Questions On Boolean Alge
…
Boolean Expression C
…
AP Computer Science a Bo
…
7 Boolean Algebra in C
…
Boolean Algebra Clas
…
Boolean Logic Computer Sc
…
Boolean Example Co
…
MCQ Questions of
…
Boolean Algebra Clas
…
Boolean Algebra Que
…
Report an inappropriate content
Please select one of the options below.
Not Relevant
Offensive
Adult
Child Sexual Abuse
Feedback