The photos you provided may be used to improve Bing image processing services.
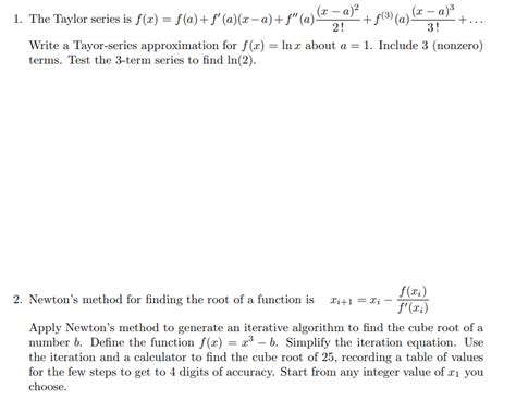
Privacy Policy
|
Terms of Use
Can't use this link. Check that your link starts with 'http://' or 'https://' to try again.
Unable to process this search. Please try a different image or keywords.
Try Visual Search
Search, identify objects and text, translate, or solve problems using an image
Drag one or more images here,
upload an image
or
open camera
Drop images here to start your search
To use Visual Search, enable the camera in this browser
All
Search
Images
Inspiration
Create
Collections
Videos
Maps
News
More
Shopping
Flights
Travel
Notebook
Top suggestions for Vectorial Newton-Raphson in MATLAB
Newton-Raphson
Method Matlab
Newton-Raphson
Example
MATLAB Code for
Newton Raphson Method
Newton-Raphson
Law
Newton-Raphson
Exercise
Newton-Raphson
Table
Newton-Raphson
Jacobian
Newton-Raphson
Iteration
Newton-Raphson
Multivariable
Modified
Newton-Raphson
Newton-Raphson MATLAB
Code by Hand
Newton-Raphson
Method Graph
Newton-Raphson
Algorithm
Newton-Raphson
Error
Newton-Raphson
Technique
Newthon
Raphson
Newton-Raphson
Method Formula
Newton-Raphson
Method Animation
Joseph
Raphson
Newton-Raphson
Method Derivation
Jacobian Matrix
Newton-Raphson
Newton-Raphson
Maximum Iteration Matlab Code
Newton-Raphson
Secant Code in MATLAB
Newton-Raphson
Method Python
Newton-Raphson
Equation
Newton-Raphson
Method Explained
Methode
Newton-Raphson
Nonlinear
Newton-Raphson
Método De
Newton Raphson
Newton-Raphson
Algoma
Newton-Raphson
Method in C
Newton's
Method Approximation
Newton
Rhapson Matrix
Newton's
Method Calculus
Newton-Raphson
Method Application
Newton-Raphson
Method Program
Newton-Raphson
Modificado
How to Do
Newton-Raphson Method
Newton-Raphson Method in
Robotics MATLAB
MATLAB
Function Code
Newton-Raphson
Method 2 Variable MATLAB
How to Use
Newton-Raphson Method
Newton-Raphson
Al Formula
Newton-Raphson
Two Variables
Limitation of
Newton Raphson Method
Newton
Rahpson Method Matlab
Newton-Raphson in
Visual Basic
2-Dimensional
Newton-Raphson Method
Newton-Raphson
Method Graphical
New Top
Raphson Method
Explore more searches like Vectorial Newton-Raphson in MATLAB
First Order Taylor
Expansion
Iteration Method
Example
Graphical
Representation
Method
Wallpaper
Ecuaciones
No Lineales
Jacobian
Matrix
Modelo
De
Reseau
Electrique
Memes
For
Gradient
Descent
Second
Derivative
Square
Root
Slope-Intercept
Solution
Mapping
Akar
Persamaan
Power Flow
Equations
Method
Pic
Vector
Method
Theory
3D
Fractal
Initial
Guess
Grafis
Model
Technique
Method
Equation
Taylor
Series
Metodo
Formula
Wallpers
Iteration
1D
TI-Nspire
SciPy
People interested in Vectorial Newton-Raphson in MATLAB also searched for
1D
Wallpapers
Python
Template
Method
Graaph
Table
Trigonometry
Iteration
Formula
Vectors
Method 2
Iterations
Grafik
Metode
Modified
Diagram
Autoplay all GIFs
Change autoplay and other image settings here
Autoplay all GIFs
Flip the switch to turn them on
Autoplay GIFs
Image size
All
Small
Medium
Large
Extra large
At least... *
Customized Width
x
Customized Height
px
Please enter a number for Width and Height
Color
All
Color only
Black & white
Type
All
Photograph
Clipart
Line drawing
Animated GIF
Transparent
Layout
All
Square
Wide
Tall
People
All
Just faces
Head & shoulders
Date
All
Past 24 hours
Past week
Past month
Past year
License
All
All Creative Commons
Public domain
Free to share and use
Free to share and use commercially
Free to modify, share, and use
Free to modify, share, and use commercially
Learn more
Clear filters
SafeSearch:
Moderate
Strict
Moderate (default)
Off
Filter
Newton-Raphson
Method Matlab
Newton-Raphson
Example
MATLAB Code for
Newton Raphson Method
Newton-Raphson
Law
Newton-Raphson
Exercise
Newton-Raphson
Table
Newton-Raphson
Jacobian
Newton-Raphson
Iteration
Newton-Raphson
Multivariable
Modified
Newton-Raphson
Newton-Raphson MATLAB
Code by Hand
Newton-Raphson
Method Graph
Newton-Raphson
Algorithm
Newton-Raphson
Error
Newton-Raphson
Technique
Newthon
Raphson
Newton-Raphson
Method Formula
Newton-Raphson
Method Animation
Joseph
Raphson
Newton-Raphson
Method Derivation
Jacobian Matrix
Newton-Raphson
Newton-Raphson
Maximum Iteration Matlab Code
Newton-Raphson
Secant Code in MATLAB
Newton-Raphson
Method Python
Newton-Raphson
Equation
Newton-Raphson
Method Explained
Methode
Newton-Raphson
Nonlinear
Newton-Raphson
Método De
Newton Raphson
Newton-Raphson
Algoma
Newton-Raphson
Method in C
Newton's
Method Approximation
Newton
Rhapson Matrix
Newton's
Method Calculus
Newton-Raphson
Method Application
Newton-Raphson
Method Program
Newton-Raphson
Modificado
How to Do
Newton-Raphson Method
Newton-Raphson Method in
Robotics MATLAB
MATLAB
Function Code
Newton-Raphson
Method 2 Variable MATLAB
How to Use
Newton-Raphson Method
Newton-Raphson
Al Formula
Newton-Raphson
Two Variables
Limitation of
Newton Raphson Method
Newton
Rahpson Method Matlab
Newton-Raphson in
Visual Basic
2-Dimensional
Newton-Raphson Method
Newton-Raphson
Method Graphical
New Top
Raphson Method
1200×630
gistlib.com
gistlib - modified newton raphson in matlab
403×206
Mergers
Newton Raphson Matlab | Learn the Examples of Newton Raphso…
900×500
Mergers
Newton Raphson Matlab | Learn the Examples of Newton Raphson Matlab
960×540
delftstack.com
Newton-Raphson Method in MATLAB | Delft Stack
Related Products
Newton Raphson Method Book
Newton Raphson T-shirt
Newton Raphson Poster
530×390
tutorial45.com
Newton Raphson Method Matlab - Tutorial45
508×249
mediagetmodel.weebly.com
Newton Raphson Program In Matlab - mediagetmodel
583×283
mediagetmodel.weebly.com
Newton Raphson Program In Matlab - mediagetmodel
1200×600
github.com
GitHub - metecicek/Newton-Raphson-Method-in-Matlab: Newton-Raphson ...
1200×900
stackoverflow.com
Matlab Newton Raphson - Stack Overflow
768×1024
Scribd
Newton Raphson Matlab Code | P…
1024×344
algorithmminds.com
Newton Raphson Method in MATLAB
Explore more searches like
Vectorial
Newton-Raphson
in MATLAB
First Order Taylor Expan
…
Iteration Method Exa
…
Graphical Representation
Method Wallpaper
Ecuaciones No Lineales
Jacobian Matrix
Modelo De
Reseau Electrique
Memes For
Gradient Descent
Second Derivative
Square Root
197×80
algorithmminds.com
Newton Raphson Method in MATLAB
623×219
codewithc.com
Newton-Raphson Method MATLAB Program - Code With C
620×402
codewithc.com
Newton-Raphson Method MATLAB Program - Code With C
663×499
chegg.com
Solved Newton-Raphson MATLAB Use MATLAB functions but do no…
1024×576
matlabscripts.com
Newton Raphson in Matlab: A Quick Guide
1280×720
heryflash.weebly.com
Modified newton raphson method matlab - heryflash
512×512
matlabscripts.com
Newton Raphson Method in Matlab: A …
1024×576
matlabscripts.com
Newton Raphson Method in Matlab: A Quick Guide
1685×938
modellingsimulation.com
Everything Modelling and Simulation: Newton-Raphson Method Codes for M…
841×650
chegg.com
Solved Please use the Newton - raphson metho…
3223×488
chegg.com
Solved MATLAB PROBLEM a) On MATLAB, create a | Chegg.com
1236×695
matlab-apps.com
Newton-Raphson Root Finding Method: Simplify Complex 1-Dimensional ...
1013×1024
chegg.com
Solved Use the Newton-Raphson f…
590×255
chegg.com
Solved !!!!!!!!!!!! Implement following exercise in MATLAB | Chegg.com
1080×489
chegg.com
Solved Use Newton-Raphson method in Matlab for 5 iterations | Chegg.com
687×204
Chegg
Solved Using matlab and using the Newton-Raphson method | Chegg.com
People interested in
Vectorial
Newton-Raphson
in MATLAB
also searched for
1D
Wallpapers
Python Template
Method Graaph
Table
Trigonometry
Iteration Formula
Vectors
Method 2 Iterations
Grafik Metode
Modified
Diagram
1072×220
chegg.com
Solved 1. Use Matlab to apply the Newton Raphson Method in | Chegg.com
962×322
chegg.com
Solved Write a Newton-Raphson program in MATLAB that can | Chegg.com
848×167
chegg.com
Solved MATLAB programming- Newton Raphson method Consider | Chegg.com
913×335
chegg.com
Use the Newton-Raphson method and the MATLAB m code | Chegg.c…
853×306
chegg.com
Solved Develop your own MATLAB codes for Newton Raphson | Chegg…
487×745
chegg.com
Solved Develop your own MAT…
490×671
chegg.com
Solved Develop your own MAT…
700×377
simulationtutor.com
Exploring the Power of Newton Raphson Method | MATLAB
Some results have been hidden because they may be inaccessible to you.
Show inaccessible results
Report an inappropriate content
Please select one of the options below.
Not Relevant
Offensive
Adult
Child Sexual Abuse
Feedback