The photos you provided may be used to improve Bing image processing services.
Privacy Policy
|
Terms of Use
Can't use this link. Check that your link starts with 'http://' or 'https://' to try again.
Unable to process this search. Please try a different image or keywords.
Try Visual Search
Search, identify objects and text, translate, or solve problems using an image
Drag one or more images here,
upload an image
or
open camera
Drop images here to start your search
To use Visual Search, enable the camera in this browser
All
Search
Images
Inspiration
Create
Collections
Videos
Maps
News
More
Shopping
Flights
Travel
Notebook
Top suggestions for Parse Tree Examples
Parser
Tree
Sentence Tree
Diagram
Syntax Tree
Diagram
Parse Tree
Diagram
Sentence Structure
Tree Diagram
Parsing
Tree
What Is a
Parse Tree
Tree
Diagram Linguistics
Grammar Tree
Diagram
AST
Tree
Decorated
Parse Tree
Example
Fo a Parse Tree
Phrase Structure
Tree Diagram
Derivation
Tree
Simple Sentence
Tree Diagram
Parse Tree
Form
Language
Tree Example
Parsing
Table
Schematic
Parse Tree
Parse Tree
of a Well Formed Formula Example
Example of Parse Tree
in Compiler Design
Parsse
Tree
English Grammar
Tree Diagram
Sentence Tree
Diagram Examples
Annotated
Parse Tree Examples
Parts of Speech Tree Diagram
A Parse Tree
with Detail
Recursion
Tree Examples
Constituency
Tree
Parse Picture Example
Literature
Concrete
Parse Tree Examples
Earley
Parse Tree
Drawing E in a
Parse Tree
Expression
Tree Examples
Parse
Treee
Parse Tree
Image in Round
What Does a
Parse Tree Look Like
Parsed
Isomorphism of
Parse Trees
Syntactic Structures
Examples
Examples
of Parsed Words
Left and Right
Parse Trees
Mbin Parse
Treee
Diagram of a Parse Tree
for a Simple Expression
A Simple Diagram of a Basic
Tree Parse Tree
Ll 1. Parsing
Table
What Does a Decoration of a
Parse Tree Look Like
Decortated Top and Bottom
Parse Tree
What Are
Parse Trees
What Do Parse Trees
Look Like
Refine your search for Parse Tree Examples
Well-Formed
Formula
Compiler
Design
Ambiguous
Grammar
Explore more searches like Parse Tree Examples
What
is
Information
Poster
Organ
System
Simple
Example
Have Nice
Car
People interested in Parse Tree Examples also searched for
Data
Analysis
Content
Analysis
Academic
Essay
Case
Study
Business Plan
Snapshot
What Is
This
Research
Proposal
Wh
Questions
Research
Literature
Financial Aid Appeal Letter
for Bad Grades
Statement
Letter
Mutualism Relationship
Drawing
Presentation
Visualization
Transparent
Background
Article
Writing
Literature Review Introduction
Paragraph
Research Paper Summary
Paragraph
Editorial
Writing
Research
Paper
Stamp
PNG
Research Proposal
Template
Go
Foods
Research Paper
Introduction
Reflection
Paper
Gas
Narrative
Text
Research
Design
Business Need
Statement
Critical Review
Essay
Word
Images
Literature
Review
Images.
Free
Background
Problem
College
SWOT-analysis
People interested in Parse Tree Examples also searched for
Abstract Syntax
Tree
Sentence
Diagram
Tree
Structure
Tree
Traversal
Immediate Constituent
Analysis
Node
Self-Balancing Binary
Search Tree
Hash
Tree
AA
Tree
B-tree
Affix
Grammar
Subcategorization
Biolinguistics
Government
Autoplay all GIFs
Change autoplay and other image settings here
Autoplay all GIFs
Flip the switch to turn them on
Autoplay GIFs
Image size
All
Small
Medium
Large
Extra large
At least... *
Customized Width
x
Customized Height
px
Please enter a number for Width and Height
Color
All
Color only
Black & white
Type
All
Photograph
Clipart
Line drawing
Animated GIF
Transparent
Layout
All
Square
Wide
Tall
People
All
Just faces
Head & shoulders
Date
All
Past 24 hours
Past week
Past month
Past year
License
All
All Creative Commons
Public domain
Free to share and use
Free to share and use commercially
Free to modify, share, and use
Free to modify, share, and use commercially
Learn more
Clear filters
SafeSearch:
Moderate
Strict
Moderate (default)
Off
Filter
Parser
Tree
Sentence Tree
Diagram
Syntax Tree
Diagram
Parse Tree
Diagram
Sentence Structure
Tree Diagram
Parsing
Tree
What Is a
Parse Tree
Tree
Diagram Linguistics
Grammar Tree
Diagram
AST
Tree
Decorated
Parse Tree
Example
Fo a Parse Tree
Phrase Structure
Tree Diagram
Derivation
Tree
Simple Sentence
Tree Diagram
Parse Tree
Form
Language
Tree Example
Parsing
Table
Schematic
Parse Tree
Parse Tree
of a Well Formed Formula Example
Example of Parse Tree
in Compiler Design
Parsse
Tree
English Grammar
Tree Diagram
Sentence Tree
Diagram Examples
Annotated
Parse Tree Examples
Parts of Speech Tree Diagram
A Parse Tree
with Detail
Recursion
Tree Examples
Constituency
Tree
Parse Picture Example
Literature
Concrete
Parse Tree Examples
Earley
Parse Tree
Drawing E in a
Parse Tree
Expression
Tree Examples
Parse
Treee
Parse Tree
Image in Round
What Does a
Parse Tree Look Like
Parsed
Isomorphism of
Parse Trees
Syntactic Structures
Examples
Examples
of Parsed Words
Left and Right
Parse Trees
Mbin Parse
Treee
Diagram of a Parse Tree
for a Simple Expression
A Simple Diagram of a Basic
Tree Parse Tree
Ll 1. Parsing
Table
What Does a Decoration of a
Parse Tree Look Like
Decortated Top and Bottom
Parse Tree
What Are
Parse Trees
What Do Parse Trees
Look Like
595×208
researchgate.net
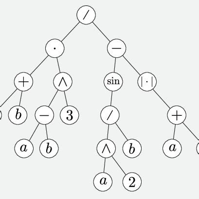
Parse tree examples | Download Scientific Diagram
680×450
gitmind.com
Parse Tree: An Introduction to Common Uses and Benefits
680×450
gitmind.com
Parse Tree: An Introduction to Common Uses and Benefits
1263×709
sub.synergycodes.com
What is a parse tree? Definition, importance, and examples – Glossary ...
Related Products
Parse Tree Diagram
Example of Parse Trees
Abstract Syntax
495×640
slideshare.net
Parse Tree | PDF
850×359
researchgate.net
Example of a parse tree Formally the function of translating a parse ...
850×673
researchgate.net
Examples of parse trees. | Download Scientific Diagram
850×556
researchgate.net
Parse tree format (left) and abstract syntax tree (right). | Download ...
1275×1650
studypool.com
SOLUTION: Parse tree and its prop…
1100×986
geeksforgeeks.org
Parse Tree and Syntax Tree | GeeksforGeeks
1100×799
geeksforgeeks.org
Parse Tree and Syntax Tree | GeeksforGeeks
960×540
delftstack.com
How to Build a Parse Tree in C++ | Delft Stack
409×409
researchgate.net
Parse tree of the example | Download S…
Refine your search for
Parse Tree Examples
Well-Formed Formula
Compiler Design
Ambiguous Grammar
680×700
naukri.com
Parse Tree in Compiler Design - Naukri Code 360
755×592
myassignmenthelp.net
Annotation Parse Tree Assessment Answers
452×341
researchgate.net
A Parse Tree Representation | Download Scientific Diagram
421×297
researchgate.net
Sample Annotated Parse Tree | Download Scientific Diagram
850×320
ResearchGate
Example of parse tree and its reduced version for a sample ...
327×326
sanfoundry.com
Parse Tree Questions and Answers - Sanfou…
850×402
researchgate.net
An example of the parse tree building. The parse tree is constructed ...
850×633
researchgate.net
A parse tree for simple sentence | Download Scientific Diagram
752×480
ResearchGate
Parse tree of example query | Download Scientific Diagram
409×452
runestone.academy
8.5. Parse Tree — Problem Solving with Al…
850×1098
researchgate.net
The parse tree for the program in listing …
653×602
researchgate.net
2 (b) Parse tree of example 3.1. | Download Scientific Di…
850×852
researchgate.net
Parse tree for the example provided | Download Scie…
1284×1873
dear-computer.twodee.org
Parse Trees
377×252
Python for Fun
6.6. Parse Tree — Problem Solving with Algorithms and Data Structures
1806×871
textx.github.io
Parse tree - Arpeggio
995×593
Stack Overflow
parsing - Parse/ tree diagram for phrasal constituents of a specific ...
People interested in
Parse Tree Examples
also searched for
Abstract Syntax Tree
Sentence Diagram
Tree Structure
Tree Traversal
Immediate Constituent
…
Node
Self-Balancing Binary Searc
…
Hash Tree
AA Tree
B-tree
Affix Grammar
Subcategoriz
…
2400×1260
gamma.app
Parsing and Parse Tree Generation
189×189
researchgate.net
Sample parse tree generated f…
640×640
researchgate.net
The parse tree with embedding codes o…
725×595
researchgate.net
Parse Tree for Program Shown in Figure 5 | Down…
1024×768
SlideServe
PPT - Parse Trees PowerPoint Presentation, free download - ID:250…
Some results have been hidden because they may be inaccessible to you.
Show inaccessible results
Report an inappropriate content
Please select one of the options below.
Not Relevant
Offensive
Adult
Child Sexual Abuse
Feedback