The photos you provided may be used to improve Bing image processing services.
Privacy Policy
|
Terms of Use
Can't use this link. Check that your link starts with 'http://' or 'https://' to try again.
Unable to process this search. Please try a different image or keywords.
Try Visual Search
Search, identify objects and text, translate, or solve problems using an image
Drag one or more images here,
upload an image
or
open camera
Drop images here to start your search
To use Visual Search, enable the camera in this browser
All
Search
Images
Inspiration
Create
Collections
Videos
Maps
News
More
Shopping
Flights
Travel
Notebook
Autoplay all GIFs
Change autoplay and other image settings here
Autoplay all GIFs
Flip the switch to turn them on
Autoplay GIFs
Image size
All
Small
Medium
Large
Extra large
At least... *
Customized Width
x
Customized Height
px
Please enter a number for Width and Height
Color
All
Color only
Black & white
Type
All
Photograph
Clipart
Line drawing
Animated GIF
Transparent
Layout
All
Square
Wide
Tall
People
All
Just faces
Head & shoulders
Date
All
Past 24 hours
Past week
Past month
Past year
License
All
All Creative Commons
Public domain
Free to share and use
Free to share and use commercially
Free to modify, share, and use
Free to modify, share, and use commercially
Learn more
Clear filters
SafeSearch:
Moderate
Strict
Moderate (default)
Off
Filter
1200×878
mathodics.com
An Introduction to the Separation of Variables Method - mathodics.com
2438×296
chegg.com
Solved 2. Separation of variables: Determine whether the | Chegg.com
847×337
Chegg
Solved 3. Using the method of separation of variables, solve | Chegg.com
1008×1050
Chegg
Solved Applying the separation of variable…
1620×2292
studypool.com
SOLUTION: Solved practic…
700×378
chegg.com
Solved Use the method of separation of variables to solve | Chegg.com
1398×667
blogspot.com
Separation Of Variables Method Partial Differential Equations - Partial ...
1024×466
blogspot.com
Separation Of Variables Method Partial Differential Equations - Partial ...
903×292
chegg.com
Solved Solve the given PDE by the method of separation of | Chegg.com
1024×494
chegg.com
Solved 2. Separation of Variables for PDEs. Use separation | Chegg.com
1510×358
chegg.com
Solved Using the method of separation of variables solve the | Chegg.com
932×325
chegg.com
Solved 1. Use the separation of variables method to replace | Chegg.com
1024×447
Stack Exchange
ordinary differential equations - Understanding solution of PDE using ...
680×245
chegg.com
Solved Solve the following PDE using Method of Separation of | Chegg.com
285×60
chegg.com
Solved Solve the PDE using the variables separation method | Chegg.com
2500×393
chegg.com
Use the method of separation of variables to solve | Chegg.com
1200×318
chegg.com
Solved Apply the method of separation of variables to | Chegg.com
700×255
Chegg
Solved Use the method of separation of variables to solve | Chegg.com
1242×498
chegg.com
Solved Solving a PDE in 2D by Separation of Variables Use | Chegg.com
732×361
chegg.com
Solved Use the method of separation of variables and the | Chegg.com
909×730
chegg.com
Using the method of separation of variables, f…
696×165
chegg.com
Problem 2: Solve the following PDE by the method of | Chegg.com
1005×192
chegg.com
Use the method of separation of variables to solve | Chegg.com
2046×668
Chegg
Solved PDE question Use the method of separation of | Chegg.com
1238×500
Chegg
Solved Use the method of separation of variables and the | Chegg.com
897×503
chegg.com
Solved Solve the PDE by Separation of variables | Chegg.com
1252×174
chegg.com
Solved Use the separation of variables method to solve the | Chegg.com
1080×599
chegg.com
Solving a PDE in 2D by Separation of Variables Use | Chegg.com
684×329
chegg.com
Solved (e) Use the method of separation of variables and the | Chegg.com
1144×616
chegg.com
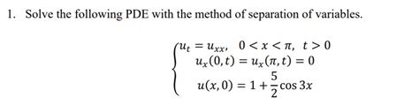
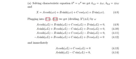
Solved 1. Solve the following PDE with the method of | Chegg.com
910×280
chegg.com
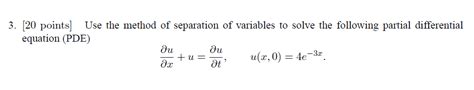
Solved Solve the following PDE with the method of separation | Chegg.com
1280×720
chegg.com
Solved Use the separation of variables method to reduce the | Chegg.com
764×1226
chegg.com
Solved You are to use the method of separation of vari…
816×205
chegg.com
Solved Solve the following PDE with the method of separation | Chegg.com
1024×126
numerade.com
problem for each of the problem determine whether the method of ...
Some results have been hidden because they may be inaccessible to you.
Show inaccessible results
Report an inappropriate content
Please select one of the options below.
Not Relevant
Offensive
Adult
Child Sexual Abuse
Feedback